Chapter 11: Q16E (page 753)
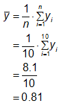
Question:For the conditions of Exercise \({\bf{12}}\), and the data in Table \({\bf{11}}{\bf{.2}}\), determine the value of \({{\bf{R}}^{\bf{2}}}\), as defined by Eq.\({\bf{(11}}{\bf{.5}}{\bf{.26)}}\).
Short Answer
The value of \({R^2}\)is \(0.6627\).


