Chapter 2: Q.14 (page 127)
What does the relative frequency column in Table sum to? Why?
Short Answer
The relative frequency sums to
/*! This file is auto-generated */ .wp-block-button__link{color:#fff;background-color:#32373c;border-radius:9999px;box-shadow:none;text-decoration:none;padding:calc(.667em + 2px) calc(1.333em + 2px);font-size:1.125em}.wp-block-file__button{background:#32373c;color:#fff;text-decoration:none}
Learning Materials
Features
Discover
Chapter 2: Q.14 (page 127)
What does the relative frequency column in Table sum to? Why?
The relative frequency sums to
All the tools & learning materials you need for study success - in one app.
Get started for free
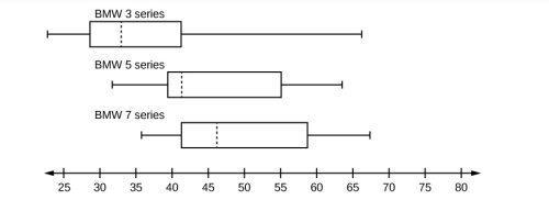
A survey was conducted of 130 purchasers of new BMW 3 series cars, 130 purchasers of new BMW 5 series cars, and 130 purchasers of new BMW 7 series cars. In it, people were asked the age they were when they purchased their car. The following box plots display the results.

a. In complete sentences, describe what the shape of each box plot implies about the distribution of the data collected for that car series.
b. Which group is most likely to have an outlier? Explain how you determined that.
c. Compare the three box plots. What do they imply about the age of purchasing a BMW from the series when compared to each other?
d. Look at the BMW 5 series. Which quarter has the smallest spread of data? What is the spread?
e. Look at the BMW 5 series. Which quarter has the largest spread of data? What is the spread?
f. Look at the BMW 5 series. Estimate the interquartile range (IQR).
g. Look at the BMW 5 series. Are there more data in the interval 31 to 38 or in the interval 45 to 55? How do you know this?
h. Look at the BMW 5 series. Which interval has the fewest data in it? How do you know this?
i. 31–35
ii. 38–41
iii. 41–64
Suppose that you are buying a house. You and your realtor have determined that the most expensive house you can afford is the percentile. The percentile of housing prices is in the town you want to move to. In this town, can you afford of the houses or of the houses?
Use the following information to answer the next three exercises: State whether the data are symmetrical, skewed to the left, or skewed to the right.
Santa Clara County, CA, has approximately Japanese-Americans. Their ages are as follows:

a. Construct a histogram of the Japanese-American community in Santa Clara County, CA. The bars will not be the
same width for this example. Why not? What impact does this have on the reliability of the graph?
b. What percentage of the community is under age ?
c. Which box plot most resembles the information above?

Use the following information to answer the next three exercises: Sixty-five randomly selected car salespersons were asked the number of cars they generally sell in one week. Fourteen people answered that they generally sell three cars; nineteen generally sell four cars; twelve generally sell five cars; nine generally sell six cars; eleven generally sell seven cars. Calculate the following:
mode = _______
What do you think about this solution?
We value your feedback to improve our textbook solutions.