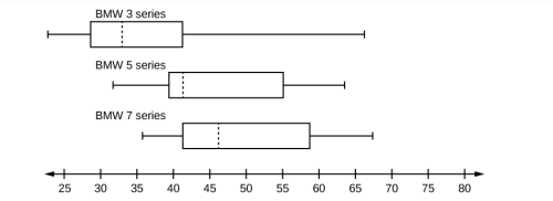
A survey was conducted of 130 purchasers of new BMW 3 series cars, 130 purchasers of new BMW 5 series cars, and 130 purchasers of new BMW 7 series cars. In it, people were asked the age they were when they purchased their car. The following box plots display the results.

a. In complete sentences, describe what the shape of each box plot implies about the distribution of the data collected for that car series.
b. Which group is most likely to have an outlier? Explain how you determined that.
c. Compare the three box plots. What do they imply about the age of purchasing a BMW from the series when compared to each other?
d. Look at the BMW 5 series. Which quarter has the smallest spread of data? What is the spread?
e. Look at the BMW 5 series. Which quarter has the largest spread of data? What is the spread?
f. Look at the BMW 5 series. Estimate the interquartile range (IQR).
g. Look at the BMW 5 series. Are there more data in the interval 31 to 38 or in the interval 45 to 55? How do you know this?
h. Look at the BMW 5 series. Which interval has the fewest data in it? How do you know this?
i. 31鈥35
ii. 38鈥41
iii. 41鈥64