Chapter 2: Descriptive Statistics
Q.82
The median age for U.S. blacks currently is years; for U.S. whites it is years.
a. Based upon this information, give two reasons why the black median age could be lower than the white median age.
b. Does the lower median age for blacks necessarily mean that blacks die younger than whites? Why or why not?
c. How might it be possible for blacks and whites to die at approximately the same age, but for the median age for whites to be higher?
Q.83
Six hundred adult Americans were asked by telephone poll, "What do you think constitutes a middle-class income?" The results are in Table 2.69. Also, include left endpoint, but not the right endpoint.

a. What percentage of the survey answered "not sure"?
b. What percentage think that middle-class is from \(25,000 to \)50,000? c. Construct a histogram of the data.
i. Should all bars have the same width, based on the data? Why or why not?
ii. How should the <20,000 and the 100,000+ intervals be handled? Why? d. Find the 40th and 80th percentiles
e. Construct a bar graph of the data
Q.84
Given the following box plot:

Figure 2.41
a. which quarter has the smallest spread of data? What is that spread?
b. which quarter has the largest spread of data? What is that spread?
c. find the interquartile range (IQR).
d. are there more data in the interval 5鈥10 or in the interval 10鈥13? How do you know this?
e. which interval has the fewest data in it? How do you know this?
i. 0鈥2
ii. 2鈥4
iii. 10鈥12
iv. 12鈥13
v. need more information
Q.85
The following box plot shows the U.S. population for 1990, the latest available year.

a. Are there fewer or more children (age 17 and under) than senior citizens (age 65 and over)? How do you know?
b. 12.6% are age 65 and over. Approximately what percentage of the population are working age adults (above age 17 to age 65)?
Q.86
In a survey of 20-year-olds in China, Germany, and the United States, people were asked the number of foreign countries they had visited in their lifetime. The following box plots display the results.

a. In complete sentences, describe what the shape of each box plot implies about the distribution of the data collected.
b. Have more Americans or more Germans surveyed been to over eight foreign countries?
c. Compare the three box plots. What do they imply about the foreign travel of 20-year-old residents of the three countries when compared to each other
Q.87
Given the following box plot, answer the questions

a. Think of an example (in words) where the data might fit into the above box plot. In 2鈥5 sentences, write down the example.
b. What does it mean to have the first and second quartiles so close together, while the second to third quartiles are far apart?
Q.88
Given the following box plots, answer the questions.

a. In complete sentences, explain why each statement is false.
i. Data 1 has more data values above two than Data 2 has above two.
ii. The data sets cannot have the same mode.
iii. For Data 1, there are more data values below four than there are above four.
b. For which group, Data 1 or Data 2, is the value of 鈥7鈥 more likely to be an outlier? Explain why in complete sentences.
Q.89
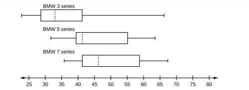
A survey was conducted of 130 purchasers of new BMW 3 series cars, 130 purchasers of new BMW 5 series cars, and 130 purchasers of new BMW 7 series cars. In it, people were asked the age they were when they purchased their car. The following box plots display the results.

a. In complete sentences, describe what the shape of each box plot implies about the distribution of the data collected for that car series.
b. Which group is most likely to have an outlier? Explain how you determined that.
c. Compare the three box plots. What do they imply about the age of purchasing a BMW from the series when compared to each other?
d. Look at the BMW 5 series. Which quarter has the smallest spread of data? What is the spread?
e. Look at the BMW 5 series. Which quarter has the largest spread of data? What is the spread?
f. Look at the BMW 5 series. Estimate the interquartile range (IQR).
g. Look at the BMW 5 series. Are there more data in the interval 31 to 38 or in the interval 45 to 55? How do you know this?
h. Look at the BMW 5 series. Which interval has the fewest data in it? How do you know this?
i. 31鈥35
ii. 38鈥41
iii. 41鈥64
Q.9
Using the data from Mrs. Ramirez鈥檚 math class supplied in Exercise , construct a bar graph showing the percentages
Q.90
Twenty-five randomly selected students were asked the number of movies they watched the previous week. The results are as follows:

Construct a box plot of the data.