Chapter 5: Q. 74 (page 353)
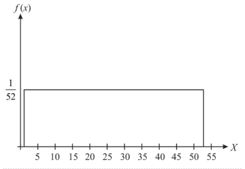
Births are approximately uniformly distributed between the 52 weeks of the year. They can be said to follow a uniform distribution from one to 53 (spread of 52 weeks).
a. X ~ _________
b. Graph the probability distribution.
c. f(x) = _________
d. ì = _________
e. ó = _________
f. Find the probability that a person is born at the exact moment week 19 starts. That is, find P(x = 19) = _________
g. P(2 < x < 31) = _________
h. Find the probability that a person is born after week 40.
i. P(12 < x|x < 28) = _________
j. Find the 70th percentile.
k. Find the minimum for the upper quarter
Short Answer
As per calculations
a.
b.
The probability distribution function will be;
localid="1649331118711"
c.
d. 27
e. 15.01
f. 0
g. 0.5577
h. 0.25
i. 0.5926
j. 37.4
k. 40
