Chapter 4: Q.4.47 (page 173)
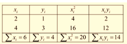
For a data set consisting of 2 data points:

For each of the following sets of data points, determine the regression equation both without and with the use of formula 4.1 on page 165.
Short Answer
(a) with formula:
without formula:
(b) with formula :
without formula :






