Chapter 7: Polynomials
Q43.
Page 462
Solve the given equation.
Q44.
Page 462
Solve the given equation.
Q45.
Page 462
Solve the given equation.
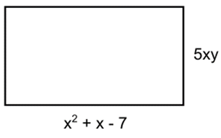
Q46.
Page 462
Find the area of the rectangle.

Q47.
Page 462
Find the product.
Q48.
Page 462
Find the product.
Q49.
Page 462
Find the product.
Q4A.
Page 403
Express the area of a square with sides of lengthas a monomial.
Q4B.
Page 403
Express the area of a triangle with height of and a base of as a monomial.
Q5.
Page 399
Write each expression using exponents.